高中生物必修一(到3.1)
看什么看
·
·
学习·文化课
1 走进细胞
1.1 细胞是生命活动的基本单位
细胞学说
建立者:施莱登和施旺
要点:
- 细胞是一个有机体,一切动植物都由细胞发育而来,并由细胞和细胞的产物构成。
- 细胞是一个相对独立的单位,既有自己的生命,也和其他细胞共同组成生命整体。(事实上,细胞是最小的具有生命的单位)
- 新细胞是由老细胞分裂而来的。
主要意义:揭示了动植物的统一性,从而阐明了生物界的统一性。(结构上的统一性)
归纳法
-
完全归纳法:某类中每一对象(或子类)都具有或不具有某一属性为前提,推出以该类对象全部具有或不具有该属性为结论的归纳推理。
举例:太平洋已经被污染;大西洋已经被污染;印度洋已经被污染;北冰洋已经被污染;(太平洋、大西洋、印度洋、北冰洋是地球上的全部大洋)所以,地球上的所有大洋都已被污染。
-
不完全归纳法:以某类中的部分对象(分子或子类)具有或不具有某一属性为前提,推出以该类对象全部具有或不具有该属性为结论的归纳推理。
举例:张三吃了这个商店的辣条拉肚子,李四吃了这个商店的辣条拉肚子,王五吃了这个商店的辣条拉肚子,所以,人吃了这个商店的辣条就会拉肚子。
自然科学使用的几乎都是不完全归纳法。使用不完全归纳法需要注意反例的存在。
生命系统的层次
动物和植物的比较
共同点:都是生物,都具有生物的特点。都有细胞结构。
不同点:
- 运动能力:植物通常在一个地方发芽生长,开花结果,原地不动地度过一生;绝大多数动物为了觅食、避敌等原因,经常跑来跑去,处于运动状态。
- 器官变化;从幼小时期只有根、茎、叶到成年后长出花朵,再到花朵凋谢后结出果实种子,植物的各种器官一直在发生不同的增减变化。而大多数动物(低等动物除外)不论老幼,五官四肢等各种器官不增不减,仅仅是体积大小的不同。
- 营养方式;除了少数寄生和腐生植物外,植物都能进行光合作用,能自己制造“粮食”养活自己(生产者)。动物只能依靠吃植物或捕食其他动物来养活自己(消费者)。
- 细胞构造和外形特征;植物细胞具有纤维素质的细胞壁、叶绿体和中央大液泡,而动物细胞没有。植物通常具有技条繁杂的外观,而动物外形结实,附有肢体。植物体内没有复杂器官,而动物拥有众多复杂的器官。
病毒
病毒是生物,但病毒不具有细胞结构,只能寄生。现在通常认为,病毒是一种介于生物大分子和细胞之间的层次。病毒是活的生命吗?这个问题存在争议,目前多数人认为病毒不具有生命。
1.2 细胞的多样性和统一性
- 真核细胞和原核细胞:有核膜的细胞叫真核细胞,没有核膜的细胞叫做原核细胞。(初中以有无成型的细胞核为界定,到高中有了更准确的定义。核膜可以初步理解为细胞核上的膜)
由真核细胞组称的生物叫做真核生物,由原核细胞组称的生物叫做原核生物。
原生生物:最简单的真核生物。注意和原核生物区分。
两类代表性的原核细胞:细菌和蓝藻(蓝细菌)
两类代表性的真核细胞:动物细胞和植物细胞
原核细胞和真核细胞的统一性:
- 相似的化学组成:几乎都只用 C, H, O, N, P, S 等 20 多种元素构建自身。
- 脂-蛋白体系的细胞膜:均有主要由磷脂双层膜与蛋白质构成的细胞膜。
- 相同的遗传装置:都用 DNA 作为遗传信息的载体,RNA 作为转录物指导蛋白质合成。
- 一分为二的分裂方式:所有细胞都以一分为二的方式分裂。
|
细胞壁 |
细胞膜 |
细胞质 |
核糖体 |
拟核 |
细胞核 |
叶绿体 |
线粒体 |
其他 |
| 细菌 |
1 |
1 |
1 |
1 |
1 |
0 |
0 |
0 |
有些细菌有鞭毛、纤毛 |
| 蓝藻 |
1 |
1 |
1 |
1 |
1 |
0 |
0 |
0 |
|
| 动物细胞 |
0 |
1 |
1 |
1 |
0 |
1 |
0 |
1 |
|
| 植物细胞 |
1 |
1 |
1 |
1 |
0 |
1 |
1 |
1 |
有液泡 |
2 组成细胞的分子
2.1 细胞中的元素和化合物
含量大于 0.01% 的元素称为大量元素,共 11 种:O, C, H, N, P, S, Ca, K, Na, Cl, Mg(含量从大到小)。
含量小于 0.01% 的元素称为微量元素,包括 Fe, Zn, Cu, Se, Mn, I, Co, Cr, Mo, F 等元素。
组称细胞的化合物含量从多到少为:
- 水(含量最多的化合物):70\% \sim 90\%。
- 蛋白质(含量最多的有机物):7\% \sim 10\%。
- 无机盐,糖类,核算,脂质:各占 1\% \sim 2\%。
注意不同细胞中化合物的含量有差异。
| 检测物质 |
检测试剂 |
现象 |
| 还原糖 |
斐林试剂 |
砖红色沉淀 |
| 脂肪 |
苏丹Ⅲ |
橘黄色 |
| 蛋白质 |
双缩脲 |
紫色 |
2.2 细胞中的无机物
水的作用:
- 水具有极性,可以充当极性溶剂;
- 水分子之间存在氢键,提高了水的比热容。
自由水:可以自由流动的水,具有流动性和溶解性。自由水越多,细胞的代谢越旺盛。
结合水:和蛋白质、多糖等结合的水。结合水越多,抵抗干旱、寒冷等不良环境的能力越强。
无机盐的作用
生物体内的无机盐大多溶在水中,以离子形式存在,如 Na^+, K^+, Ca^{2+}, Cl^-, HPO_4^{2-}, HCO_3^- 等。
- 参与物质组成
2. 参与生命活动
$Na^+,Ca^{2+}$ 等离子参与生命活动。
$Na^+$ 是细胞外主要的阳离子,对神经功能重要。人体**缺乏 $Na^+$ 会引发肌肉酸痛、肌无力等症状**。(因此,大量出货后,除了补充水,还要补充适量的无机盐)
$Ca$ 是骨骼和牙齿的组分,激发肌肉收缩。动物**缺乏 $Ca^{2+}$ 会抽搐**。
3. 维持酸碱平衡
无机盐对维持体内的酸碱平衡有重要作用。细胞中 pH 的微小变化都可能影响酶的活性。生物体内采用缓冲液来保持 pH 稳定。
例如:人的血液缓冲液由 $H_2CO_3$(酸)和 $HCO_3^-$(碱)组成。血液过酸时,通过反应 $HCO_3^-+H^+\rightarrow H_2CO_3$,降低氢离子浓度;血液过碱时,通过反应 $H_2CO_3+OH^-\rightarrow HCO_3^-+H_2O$,降低氢氧根离子浓度。
## 2.3(1) 细胞中的糖类
糖类是细胞主要的**能源物质**。
糖类不但包括我们食用的糖,还包括淀粉、糖原、纤维素、几丁质等几乎没有甜味的物质。
具有甜味的物质也不一定是糖类,例如木糖醇。
概括:**糖不一定有甜味,有甜味的物质也不一定是糖**
大部分糖是光合作用的产物,主要由 $C,H,O$ 构成,$C,H,O$ 元素的比例正好是 $1:2:1$,所以过去也称**碳水化合物**。
有些糖的组成不符合这个比例,比如脱氧核糖 $C_5H_{10}O_4$;符合这个比例的有机物也不一定是糖,比如甲醛 $HCHO$,乙酸 $CH_3COOH$。
糖按照聚合程度可以分为单糖、寡糖、多糖。单糖不是聚合物,**不能水解成更小的单位**;寡糖由几个单糖聚合而成,最具有生理意义的是二糖;多糖是由单糖聚合成的长链,一般没有甜味。
### 单糖
注:阅读以下内容需要一定有机化学和立体化学基础。
代表:葡萄糖和果糖(都为 $C_6H_{12}O_6$ 互为同分异构体)。
> 葡萄糖是生物体内最重要的单糖,被称为“生命燃料”。

单糖除了含有 6 个碳原子的,还有含 3、4、5、7 个碳原子的,分别称为丙糖,丁糖,戊糖,庚糖。戊糖是组成核酸的成分。丙糖有甘油醛和二羟基丙酮两种。

### 二糖
细胞能以单糖为原料,合成寡糖和多糖。
二糖由两分子的单糖脱掉一分子的水结合在一起。二糖通常要被水解成单糖才能被细胞吸收。
主要的二糖有麦芽糖、蔗糖和乳糖。
> 麦芽糖存在于发芽的谷粒、麦芽等。
>
> 麦芽糖主要来自淀粉水解。
> 蔗糖是日常食用中主要的糖。
>
> 蔗糖存在于甘蔗、甜菜和各种有甜味的水果中。
>
> 蔗糖是**植物中糖的运输形式**(这是因为普通的和葡萄糖有关的酶没法打开蔗糖的链)。
> 乳糖是人类和很多哺乳动物乳汁中唯一的糖。

### 多糖
多糖是由数十至数千个单糖通过脱水缩合成的多聚体。
最重要的多糖:淀粉,糖原和纤维素。
> 淀粉是植物光合作用的产物。
>
> 淀粉大量存在于植物种子、块根(红薯、木薯等)、块茎(马铃薯、芋头等)和一些干果(栗子、白果等)。
>
> 淀粉是**植物能量的储存形式**,也是**人类能量的重要来源**。
> 糖原是**动物体内能量的储存形式**(因此又叫动物淀粉)。
>
> 糖原的分支比淀粉多。
>
> 动物合成和储存糖原的器官主要有肝和骨骼肌。
>
> 肝中的糖原可以调节血糖(血糖升高时,肝将血液中的葡萄糖合成糖原;血糖降低时,肝将糖原分解成葡萄糖)。
> 纤维素是植物细胞壁的主要成分,其结构支撑作用。
>
> 纤维素链没有分支。
>
> 人体的淀粉酶没法识别纤维素,因此**人体不能消化纤维素**。但是**纤维素可以促进肠道蠕动,对健康有益**。
几丁质也是一种常见的多糖。
> 几丁质是节肢动物外骨骼的主要成分,也是真菌细胞细胞壁的主要成分。(注:例外:酵母菌的细胞壁主要成分是葡聚糖和甘露聚糖)
>
> 几丁质除了 $C, H, O$,还含 $N$ 元素。

## 2.3(2) 细胞中的脂质
脂质(脂类)在化学结构上有很大的差异,没有统一的结构式。
脂质的共同特点是**难溶于水**,易溶于氯仿 $CHCl_3$,笨 $C_6H_6$,乙醚 $CH_3OCH_3$ 等有机溶剂,在外观上呈现油等状态。
相比于糖类,脂质的 $O$ 元素含量低得多。
常见的脂质有脂肪、磷脂和固醇。
### 脂肪
脂肪是最常见的脂质。
> 脂肪的化学能很高。脂肪的化学能约为等质量淀粉的两倍。
> 脂肪有很好的**隔热性**。
> 脂肪分子中的甘油的三个羟基与三个脂肪酸分别形成酯键,所以脂肪又叫做甘油三酯或三酰甘油。
>
> 脂肪酸由一条不分支的碳氢链和羧基组成。
>
> 碳氢链不含双键的脂肪酸叫做**饱和脂肪酸**,含一个双键的叫做**单不饱和脂肪酸**,含超过一个双键的叫做**多不饱和脂肪酸**,后两者统称为**不饱和脂肪酸**。
> 人体可以合成饱和脂肪酸和单不饱和脂肪酸,但不能合成多不饱和脂肪酸,必须从外界摄取。
> 不饱和脂肪酸在常温下通常是液态。动物脂肪中不饱和脂肪酸很少,所以动物油常温下一般为固态;植物脂肪中不饱和脂肪酸较多,所以植物油常温下一般为液态。
>
> 长链脂肪酸可以和长链一元醇形成酯,称为蜡。
>
> 蜡的疏水性比脂肪更强,可以保护生物体的表面(苹果、梨的表皮都有一层蜡,昆虫用蜡保护躯体,蜜蜂用蜡构建蜂巢)。

### 磷脂
> 磷酸可以取代脂肪酸,一个脂肪酸侧面被磷酸取代,形成磷脂酸,磷酸上再接上其他醇类,形成甘油磷脂。
>
> 磷脂有一个亲水的头和两个疏水的尾,在水中可以形成双层结构。因此磷脂是**形成生物膜的重要脂质**。
### 固醇
固醇(类固醇)包括胆固醇,性激素,维生素 D 等。固醇是不含酯键的脂质。
> 胆固醇是**细胞膜重要成分**。
>
> 胆固醇是**动物合成其他固醇的原料**。
>
> 胆固醇**参与血液中脂质的运输**。
>
> 人体的胆固醇来自食物和肝的合成。
> 性激素可以**促进生殖器官的发育和生殖细胞的形成**。
> 维生素 D 可以**促进人体钙和磷的吸收**。
### 糖和脂质的转换
糖类充足的时候,可以大量转换为脂质;脂质只有在糖类代谢发生障碍时,才能分解成糖类,而且不能大量转换为糖类。
- 补充
Q: 为什么脂质的能量更多,生物体还是以糖类为主要能源物质,而不是脂质?
A: 脂质氧化释放能量的速度慢,且需要消耗大量氧气;糖类氧化速度快,且既可以在有氧环境下氧化,也可以在无氧环境下氧化。
## 2.4 蛋白质是生命活动的主要承担者
蛋白质是由氨基酸组成的多聚体,是重要的生物大分子。
细胞、组织和机体的结构与蛋白质有关,生物体内每一项生理活动都有蛋白质参与。
### 氨基酸
自然界存在的和人造的氨基酸可达上百种。已知几乎所有蛋白质都由 $20$ 种氨基酸组成,它们都是 α-氨基酸。α-氨基酸的通式如下:

与氨基和羧基相连的碳原子称为 α-碳原子。除甘氨酸外,α-碳原子均为不对称碳原子。组成蛋白质的氨基酸都是 L 型的。
实际上组成蛋白质的氨基酸已经发现了 $22$ 种。硒半胱氨酸和吡咯赖氨酸是第 $21$ 种和第 $22$ 种氨基酸,它们分别用通常的终止密码子 UGA 和 UAG 编码,在少数蛋白质中出现。目前吡咯赖氨酸只在甲烷菌中发现。
人体内可以合成 $13$ 中氨基酸(称为**非必需氨基酸**),剩下 $8$ 种($V,L,I,M,F,W,T,K$)不能合成,需要从食物中获取(称为**必需氨基酸**)。
全背,可以在网上找一下巧记方法:
| 氨基酸名称 | 三字母符号 | 单字母符号 | 特殊性质 |
| :-----------: | :-----------: | :-----------: | :----------- |
| 甘氨酸 | $Gly$ | $G$ | 疏水 |
| 丙氨酸 | $Ala$ | $A$ | 疏水 |
| 缬(xié)氨酸 | $Val$ | $V$ | 疏水 |
| 亮氨酸 | $Leu$ | $L$ | 疏水 |
| 异亮氨酸 | $Ile$ | $I$ | 疏水 |
| 甲硫氨酸 | $Met$ | $M$ | 疏水 |
| 苯丙氨酸 | $Phe$ | $F$ | 疏水 |
| 色氨酸 | $Trp$ | $W$ | 疏水 |
| 脯氨酸 | $Pro$ | $P$ | 疏水 |
| 丝氨酸 | $Ser$ | $S$ | 亲水 |
| 苏氨酸 | $Thr$ | $T$ | 亲水 |
| 半胱氨酸 | $Cys$ | $C$ | 亲水 |
| 酪(lào)氨酸 | $Try$ | $Y$ | 亲水 |
| 天冬酰胺 | $Asn$ | $N$ | 亲水 |
| 谷氨酰胺 | $Gln$ | $Q$ | 亲水 |
| 天冬氨酸 | $Asp$ | $D$ | 亲水,酸性,带负电 |
| 谷氨酸 | $Glu$ | $E$ | 亲水,酸性,带负电 |
| 赖氨酸 | $Lys$ | $K$ | 亲水,碱性,带正电 |
| 精氨酸 | $Arg$ | $R$ | 亲水,碱性,带正电 |
| 组氨酸 | $His$ | $H$ | 亲水,碱性,带正电 |
| 硒半胱氨酸 | $Sec$ | $U$ | 亲水 |
| 吡咯(bǐ luò)赖氨酸 | $Pyl$ | $O$ | 亲水 |
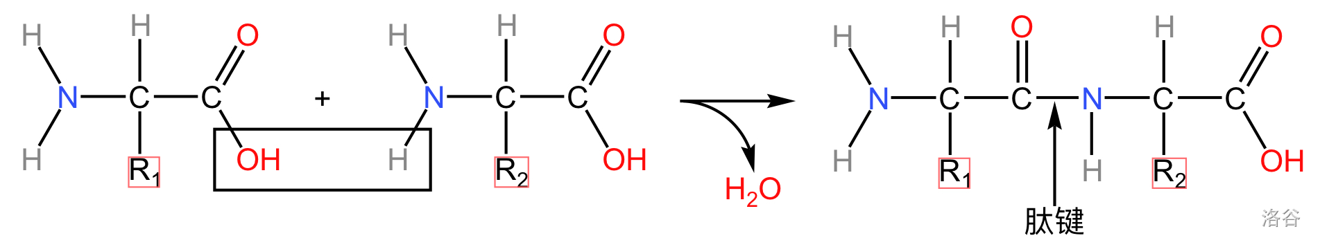
氨基酸连接起来的方式也是脱水合成,一个氨基酸的羧基和另一个氨基酸的氨基脱水。脱水后,一个氨基酸的羰基的 $C$ 和另一个氨基酸氨基的 $N$ 形成酰胺键,称为**肽键**。上述反应的产物称为**二肽**。

更多的氨基酸以同样的方式接上去,形成的产物就是**多肽/肽链**。多肽中的氨基酸称为**氨基酸残基**。
### 蛋白质的结构决定功能
一个蛋白质分子由一条或几条肽链组成,多肽必须折叠成特有的空间结构,才具有生理功能。也就是说,**蛋白质是由特定结构的肽链**。
蛋白质的结构分不同层次,即一级结构、二级结构、三级结构,有点蛋白质还有四级结构。二级及以上的结构统称为高级结构。
多肽中氨基酸的排列顺序就是一级结构。一级结构中部分肽链的弯曲或折叠产生二级结构。二级结构主要由 α 螺旋和 β 折叠等。二级结构主要依靠氢键来维持。
三级结构是整条肽链折叠成特定的空间结构,主要依靠疏水氨基酸的疏水作用和范德华力来维持。
由两条或多条肽链组成的蛋白质,还有四级结构。组成这种蛋白质的多肽称为**亚基**。亚基的结合方式就是四级结构。
- 蛋白质变性
蛋白质高级结构主要由非共价键来维持,这些非共价键都非常脆弱,热、酸、碱、有机溶剂都能够破坏这些作用力,从而改变蛋白质的高级结构,使蛋白质失去生物学功能,这就是蛋白质的变性。
人们用腌制的方法保存食物,就是用高浓度的盐或醋使微生物的酶变性,抑制微生物生长。
鸡蛋和肉类加热后,高温使蛋白质结构变得松散,易于消化。
- 与蛋白质构象有关的相关疾病
蛋白质的活性取决于蛋白质的高级结构,蛋白质的正确折叠是蛋白质发挥正常生理功能的基础。
不能正确折叠的蛋白质通常会被细胞降解,但有时也会引发疾病。
阿尔兹海默症是因为分子伴侣的失活,引起不正确折叠的蛋白质在脑细胞中堆积,形成淀粉样斑。
镰状细胞贫血是因为血红蛋白 β 链第六位的谷氨酸被缬氨酸取代,使蛋白质高级结构改变,在红细胞内形成结晶。
## 2.5 核酸是遗传信息的携带者
核酸是从细胞中提取出的一种含磷量很高,酸性很强的物质。核酸分为两大类:脱氧核糖核酸(DNA)与核糖核酸(RNA)。
### 核苷酸
DNA 和 RNA 都是多聚体,其单体是**核苷酸**。核苷酸由戊糖、磷酸基团和含氮碱基组成。DNA 中的戊糖是脱氧核糖,RNA 中的则是核糖。磷酸基团连在戊糖的 5'-C 上。
DNA 中的含氮碱基有四种,即腺嘌呤($adenine, A$),胸腺嘧啶($thymine, T$),胞嘧啶($cytosine, C$)和鸟嘌呤($guanine, G$)。RNA 中的含氮碱基也有 $A, C, G$,但是 $T$ 被尿嘧啶($uracil, U$)取代。含氮碱基连在戊糖的 1'-C 上。
| | 戊糖 | 含氮碱基 |
| :----------: | :----------: | :----------: |
| DNA | 脱氧核糖 | ACGT |
| RNA | 核糖 | ACGU |
![这里应该要放几张图]()
### DNA 和 RNA 的作用
大部分生物(所有细胞生物和部分病毒)都使用 DNA 储存和传递遗传信息,部分病毒以 RNA 储存和传递遗传信息。
RNA 在细胞内的蛋白质合成起重要作用。
### 生物大分子以碳链为骨架
多糖,蛋白质与核酸都是生物大分子,也都是多聚体。多糖以单糖为基本单位(单体),蛋白质以氨基酸为单体,核酸以核苷酸为单体。每一个单体都以若干个碳原子构成的碳链为基本骨架。
# 3 细胞的基本结构
## 3.1 细胞膜的结构与功能
- 细胞膜的功能
1. 将细胞与外界分离开来,为细胞的生命活动提供相对稳定的内环境。
2. 选择性地运输物质,包括能量物质。
3. (提供细胞识别点位,)完成细胞内外信息跨膜传导。
- 细胞膜的结构
1. 磷脂分子以疏水尾部相对,以亲水头部向外,形成**磷脂双分子层**,每层磷脂分子称为一层小叶(也是生物膜的结构)。
2. 膜蛋白分布的不对称性:蛋白质分子可以通过不同的方式镶嵌在磷脂双分子层中或者结合在其表面,称为膜蛋白。
3. (流动镶嵌学说)膜的流动性:膜脂和膜蛋白均可以侧向移动。
### 3.2 细胞器之间的分工合作
细胞器有线粒体、叶绿体、内质网,高尔基体、溶酶体、核糖体等。细胞器分布在细胞质基质中。
### 差速离心法
用低渗匀浆、超声破碎或者研磨等方法使细胞膜破碎,形成多种细胞器和细胞组分的混合匀浆,在通过不同的离心速度产生的不同离心力,使得不同质量和密度的亚细胞组分和颗粒分离。

### 细胞器的功能
(要会在图片中辨认细胞器)
|细胞器|特点|功能|分布|
|:-:|:-:|:-:|:-:|
|细胞核|最大的细胞器,包括核膜、染色质、核仁与核基质|细胞的控制中心,在细胞的代谢、生长、分化中起到重要作用|真核细胞内(以下不加说明都是)|
|内质网|由膜形成的小管合小囊组称的空间网状结构,分光面内质网(极少核糖体附着)和糙面内质网(核糖体附着)|大分子物质的合成、加工和运输通道|光面内质网在睾丸、小肠、大脑等脂类合成旺盛的地方非常丰富|
|高尔基体|网状结构,有顺面(凸面)和反面(凹面)之分|对内质网合成的蛋白质进行加工、贮存、分选和运输;合成多糖;通过反面出芽制造溶酶体|在分泌旺盛的细胞中特别发达|
|溶酶体|单层膜包被的小泡,内部有多种水解酶,内部 pH≈5|消化外界吞入的颗粒、需要更新的大分子或损坏的细胞器|动物、真菌和一些植物细胞内|
|核糖体|两个亚基组称,含大量蛋白质和 rRNA|合成蛋白质|真核细胞和原核细胞内,附着在内质网上或游离在细胞质基质中|
|液泡|单层膜包被的充满液体的囊泡|存储无机盐、氨基酸、糖类以及色素;贮存代谢废物;使细胞处于膨胀状态|植物细胞、动物的某些组织(如脊索)的细胞,部分原生生物中|
|线粒体|两层膜包被的囊状细胞器,内膜向内折叠形成嵴|细胞的“动力车间”,进行有氧呼吸,将糖类等存储的能量转变为 ATP||
|叶绿体|两层膜包被|进行光合作用,制造养料和能量|绿色植物的细胞内|
|中心体|没有膜,含有两个中心粒,这两个中心粒相互垂直排列|细胞分裂时内部活动的中心|动物细胞和低等植物的细胞内|
### 分泌蛋白的合成
### 同位素标记法
### 细胞的生物膜系统
## 3.3 细胞核的结构与功能
# 4 细胞的物质输入和输出
## 4.1 被动运输
## 4.2(1) 主动运输
## 4.2(2) 胞吞、胞吐
# 5 细胞的能量供应和利用
## 5.1 酶
## 5.2 细胞的“能量货币” ATP
## 5.3 细胞呼吸
## 5.4 光合作用
# 6 细胞的生命历程
## 6.1 细胞的增殖
## 6.2 细胞分化与干细胞
## 6.3 细胞的衰老和程序性死亡